客户服务

02月22日 2020

位式调节原理与PID调节原理

发布者:广发(中国)公司

在工业生产过程中,人工调节劳动强度大,工作单调,易生差错,生产效率低,产品质量不易保证。人工调节不能远离生产设备,因而很难确保安全。此外,现代化生产工艺流程变化速度快、精度要求高,由于人的生理条件所限不能达到控制要求。为此,人们通过实践,研究设计并制造出各种各样的仪器、仪表、调节设备、控制装置等来替代人在调节中的作用,这样就从人工调节发展到自动调节。

      工业生产过程的调节对象范围很广,有冶金、化工、石油、电站这四大基础工业中的调节对象,另外还有轻工、军工、机械、实验设备等的调节对象。被调量X(或称对象的输出量、被调节参数、被控制参数等)包括的范围更广,有四大类:热工量(温度T、压力P、压差ΔP、流量G、物位H等),成分量(气体成分A,如含氧O2%、含二氧化碳CO2%等;溶液浓度C,如硫酸H2SO4浓度、氢离子浓度PH值等;物质性质,如湿度,比重,粘度,密度等),电工量(电压U、电流I、电功率N、电频率F等)和机械量(重量、厚度,转速等)。

一、位式调节原理浅释

 

      (一)二位式调节又称通断式控制,是将测量值与设定值相比较之差值经放大处理后,对调节对象作开或关控制的调节。当测量值低于设定值时,仪表输出“通”的信号,负载因获得全部能源而升温;当测量值高于设定值时,仪表输出“断”的信号,负载因失去全部能源而降温;须指出由传感器-仪表-执行器(阀门或接触器)-负载(电炉)-传感器各部分组成的闭环系统在信号的传递、处理和调节中都不可避免地存在滞后,故仪表作出调节输出后,需要一定的时间才能把调节结果再通过传感器反馈至仪表,在此段滞后时间内,调节对象的温度仍呈惯性上升或惯性下降,仪表此时处于“失控”阶段。能源全部接通和全部关断二种状态的交替出现,必然使被控参数有周期性的起伏,形成在设定值上下的震荡,震荡的幅度由仪表的回差(又称开关差)和感温元件的响应时间、加热器的热阻等系统其他部分的特性所决定。这在二位式调节中无法避免。但在空调、农业培植等允许温度有一定范围波动的场合,可避免执行器的频繁动作,反有利于系统的运行。

      仪表的回差越小,被控值的波动范围越小,但调节输出的动作越频繁,执行器的寿命缩短。仪表的回差越大,情况则反之,一般把回差值设置在仪表全量程的0.2%-0.5%左右比较合适。

根据上述原理,二位式调节可靠性高而成本低,应用场合十分广泛。

      (二)三位式调节是为了克服二位式调节容易产生的升温速度与温度对冲量(超调)之间的矛盾而发展的一种调节方式。以电炉加热为例。三位式调节可以用两个继电器的触点组成“升温加热”、“恒温调节”及“停止加热”三种输出状态。

具体实现方法为采用辅助加热器A和主加热器B两组加热器,当测量值低于下限设定值时,上、下限继电器均吸合,系统进入“升温加热”状态,此时AB二组加热器同时加热,因此升温速度较快。

当测量值到达下限设定值,但尚低于上限设定值时,下限继电器释放,断开辅助加热器A的能源供给,升温速率随之下降,系统进入“恒温加热”状态。

       当测量值到达上限设定时,下限继电器仍保持断开状态,上限继电器开始释放,断开主加热器B能源供给。此时由于主辅加热器均失去能源供给,故温度逐渐下降,直至降到上限设定回差的下限时,上限继电器又吸合,接通主加热器B的能源供给,温度又逐渐上升,周而复始。由此可见三位式调节比两位式调节升温的速度快,进入恒温调节状态后温度的波动小,精度高。

一般情况下,辅助加热器A的加热能量为总加热能量的30%-50%,具体视系统及工况而定。

对不便设置二组加热器的对象,可以用下限继电器控制串入负载的电感器或二极管的办法实现三位式调节,成本降低,且加热器寿命延长,效果更好。

       三位式调节的仪表还可以由下限继电器承担加热调节,而把上限继电器作超温时的冷却输出或报警输出,且报警值可由用户随意设置,但报警的方式是上限继电器常闭触点重新闭合,与正规的报警动作相反,对此须注意。

三位式调节还可用于回差可调的宽中间带调节方式,其回差约等于上限设定值与下限设定值之差值,在制冷控制系统中应用较多。

 

(三)连续比例调节

      比例的符号为P,凡比例式调节的仪表,均应有一合适(如5%)的比例带。比例带的含义是使仪表的输出从最大改变到最小时,所需输入信号的变化量占仪表全量程的百分比。比例带设置得越小,相等的输入信号变化量可使输出有更大的改变,反之亦然。

比例带的作用是使仪表的调节输出与设定偏差之间有一段逆向的、几近线性特性的调节区域,在比例带内,输入信号的连续增加将使仪表的调节输出成比例地连续下降,直至输入增加到比例带的上限值时,仪表的输出降低至零。连续调节仪表的输出方式一般可分为可控硅移相触发方式和可逆电机驱动电感式调节器方式。

(四)时间比例调节

      与上述连续比例式调节相比,时间比例式调节的差别在于其对负载的调节是用脉宽调制方式,以改变单位时间(即周期)内平均加热功率的方式来实现的。如果一个1000瓦的电炉在30秒钟周期内通电15秒钟,断电15秒钟,那么在这个周期内,电炉实际得到的加热功率为50%,即500瓦。以此类推,就可以用简单的继电器触点通与断之间的时间比值,即用改变“接通”与“关断”二者占空比的办法,模拟输出具有相当分辨率的连续量。由于多数情况下被控对象有较大的热容量,几十秒钟的通断周期不会表现在被控对象的温度速变上,因此有很宽的应用范围。时间比例调节故又称作断续式比例调节。

 

      时间比例调节的基本原理:当实际温度进入仪表的下比例带时,继电器即开始周期性地释放、吸合,靠改变吸与放的时间之比值来改变加热负载上的平均加热功率,从而改变温度的目的。吸放的时间同设定值与测量值的偏差成正比,即偏差越大,单位时间(即吸放周期T)内吸合时间越长,反之越短;当偏差为零时,吸放为等周期,而出现负偏差时,吸合时间比释放时间短,直至测量值到达比例带上限,继电器不再吸合,负载上无输出。

      继电器吸合时间T1和释放时间T2之和为时间比例的周期。而吸合时间T1与周期T之比为时间比值。

与位式调节相比,时间比例式调节对负载的调节是用由偏差决定,连续改变输出量的大小这一方式去实现的,因此调节结果的波动较小。在有扰动时,被控对象能很快趋向平稳。在比例带值合适的情况下,不会产生持续的振荡现象。

 

      比例调节的静差:比例或时间比例调节在系统稳定时,其实际温度值与设置温度值之间有时会有一个偏差,即调节的结果值与设置的目标值之间有一差值,专业上称之为“静差”,静差一般为数摄氏度,可正可负。静差的大小和方向取决于全输出时加热功率的高低、环境温度或电网电压的改变和比例带的大小等各种原因。

 

二、PID

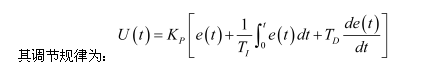
      比例、积分、微分控制(简称PID控制)是过程控制中应用最广泛的一种控制规律。1868年麦克斯韦发表了“论调速器”阐述了控制理论基础。1936年,在此基础上,ASTRON发表了著名的“PID”调节理论。最优控制理论可以证明,PID控制能满足相当多工业对象的控制要求。所以,它至今仍然是一种最基本的控制方式。

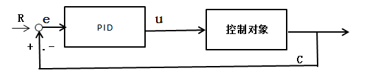
一个典型的PID单回路控制系统,C是被控参数,RC的给定值。

1.调节器的特性

      调节器的调节规律或称调节器的特性。第一种称为比例调节规律,第二种称为积分调节规律,第三种称为微分调节规律。此外就是比例加积分,比例加微分以及比例加积分加微分调节规律。这些调节规律的微积分方程式、在阶跃(即讯号一下子)输入下的输出时间特性以及传递函数等。

      PID算式有两种基本类型—完全微分型(即理想微分型)与不完全微分型(即实际微分型),根据所采用的计算机的不同输出部件,两种类型的算式又各有三种不同的型式,即位置型算式,增量型算式和速度型算式。

1)位置型算式

      智能PID调节器经PID运算,其输出信号值与调节阀门的开度一一对应。

2)增量型算式

      智能PID调节器经PID运算,指明执行机构所需的相对改变量。计算机的输出增量为前后两次采样所计算的位置值之差。

  (3)速度型算式

     速度型算式是指智能PID调节器的输出信号值与调节阀门开度的变化率一一对应,如指明直流伺服电机的转动速度。

(一)完全微分型算式与不完全微分型算式

     一台智能PID调节器中,要实现所描述的运算是相当困难的,这主要是完全微分项难以制作,因此,在实际控制系统中,采用的微分项往往都是不完全型的。

     另一方面,在智能PID调节器中,CPU对每条回路输出的时间是短暂的,而驱动步进电机走步则需要一定的时间。这样,如果经过计算得到一个输出值较大,在智能PID调节器输出的短暂时间内,步进电机将完成不了这种走步的要求,从而不能实现原来的控制要求。也就是说,由于输出通道的限制,在被控变量变化较大、并且微分作用Td较大时,虽然计算得了较大的,但是控制作用并没有较大的变化,从而把微分作用限制住了。这说明,从控制要求的角度来说,希望把过大的微分作用能逐步、平滑地输出,这样,能使微分作用真正起作用,从而达到改善控制质量的要求。这就提出了如何实现不完全微分的问题。智能PID调节器的完全微分型式

 

(二)两类算式的比较和几点看法

       (1)从上面介绍可以看出,完全微分型算式比较简单。

       (2)完全微分型算式调节性能不好,因为完全微分型算式的微分作用在调节过程中受到抑制,不利于按偏差的趋势进行调节(数学上可以严格地予以证明,这里从略),这个缺点是相当严重的,许多智能PID调节器调节品质不如常规模拟系统,原因便在于此。而采用不完全微分型算式,便可以避免此缺点,从而大大地改善调节品质。

       (3)完全微分型算式与不完全微分型算式的常数,均需事先离线算好,一般智能PID调节器配有相应的子程序,以实现这些常数的离线计算。

       (4)这些算式中,增量型算式是最基本的。鉴于国内目前所采用的    对过程变量PV值进行“微分先行”的运算,这种方式对输出的扰动较小。也有采用比例运算仅对PV进行的“比例先行”方式,这种方式对偏差的响应速度较快。而它们都属于增量型保持器,所以智能PID调节器算式以增量型为基础是有实际意义的。

      (5)增量型算式转化成其它型算式是相当容易的。

      (6)采用完全微分型算式,计算值容易超出界限,引起溢出停机。这是由于算式在计算第一周期时微分效果相当强的缘故。因此,如采用完全微分型算式,则简易算式应附加输出增量限幅部分,否则系统难于正常工作。

      (7)综上所述,虽然完全微分型算式比较简单,但从满足调节品质指标方面来看,不完全微分型算式具有更多的优点。从国外的发展趋势以及据外国专家来华进行技术交流的资料介绍,智能PID调节器越来越倾向于采用不完全微分型算式,并作成许多种伪硬件功能块(每个功能块可完成一个控制算式,目前已形成60余种)。因此,在智能PID调节器中,我们建议以采用不完全微分型算式为宜。

(三)编制控制算式子程序框图的几点说明

      (1)抗积分饱和与限幅

      众所周知,积分的作用可以消除控制系统的残余偏差。但它也有一个付作用,即在偏差没有消除以前,它会使计算输出值一直向两个极端位置变化,使输出信号超出正常信号的运行范围,进入深饱和区。一旦偏差小时,输出从深饱和区退出需要相当长的时间,这会恶化调节品质。另外,输出趋于两个极端,也容易使执行机构频繁动作振荡磨损。为避免由于积分饱和现象或其它因素(如过强的微分作用)引起输出超过执行机构的信号范围,经常用阀位反馈的方法,在被控参数读入的同时,把阀位信号也采样读入。这样,计算机就可以知道,阀门尚有多少余量可以调节。但对非线性调节阀要作适当校正。

      (2)防止积分极限环的产生

      智能PID调节器控制具有较高的控制精度,只要系统的偏差大于其精度范围,智能PID调节器就要不断进行控制,改变执行机构的位置。为防止控制过程产生极限环,对智能PID调节器输出增加一个判断条件,如果是预先制定一个相当小的常数,即所谓不灵敏区,则智能PID调节器不输出。

      (3PID参数的选取:如果选用的PID参数不合适,PID调节的结果很可能比二位式调节的结果还差,例如产生幅度很大的连续振荡,产生长期不能消除的静差,或者是在系统受扰动后不能尽快复原等等,因此,根据被控对象的工艺过程选取合适的PID参数,是用好智能PID调节器仪表的关键点。

      (4PID参数人工整定方法:PID参数的设置情况直接影响系统的调节结果。人工整定PID参数,最简单实用的办法是使用“邻界比例度法”来确定PID参数。具体方法是:将系统接成闭环,关掉ID(即将参数积分时间I和微分时间D均设置为0),多次调节比例带P值的大小,使系统刚刚产生振荡,记录此时的比例带参数(XP1)及振荡周期时间(T),则正确的PID参数可以从表中计算出来(以恒温调节系统为例说明)。

      根据比例带XP1和振荡周期T,查表后计算出合适的比例带、积分时间、微分时间三个参数的具体数值,再按仪表的设置步骤键入PID参数并稍作微调即可。

      概括地说,比例带P设置的数值越大,系统越不会发生振荡,静差也越大;积分时间I设置的数值越大,积分的作用越不明显,消除静差所需的时间也越长,系统越不会发生振荡;微分时间D设置的数值越小,对比例带和积分的作用越小,系统越不会发生振荡,但系统的响应速度也变得迟钝。积分的作用是使系统趋向稳定,而微分的作用是抑制超调,但会使系统趋向不稳定,微分与积分配合得当,就可获得尽快而稳定的调节过程。

      一般建议:初次运行先以仪表出厂时已设置的PID参数为基础,如发现系统一直在设定值上下产生非衰减性的振荡,可逐次把比例带P或积分时间I的数值增大三分之一左右,直至稳定。反之如发现系统的静差消除过慢,可减小比例带P的数值或积分时间I的数值,直至稳定。如发现系统抗扰动的能力不够,可适当增强微分的作用,即适当加大微分时间。

在一些工况固定的场合,只选用仪表的比例P和积分I功能,而把微分D功能关掉(设置为0),反能取得理想的调节效果。

      (5)自整定控制的基本原理

比例-积分-微分控制器或叫“PID回路”事实上作为工业反馈控制方面的标准方法已经超过95年了,但是使用它们并不简单。为了使PID回路工作到最佳状态,它们必须在一开始就进行整定以适应每种应用场合。

       “自动整定”控制器可以通过自动地响应请求以生成合适的整定参数来完成整定。当控制功能失效时,操作人员只需要按动“自整定”这个按钮并观察控制器的整定功能对过程进行操作,直到有足够多的符合过程自身特性的输入/输出数据。大多数自动整定技术就是简单地模仿一位有经验的控制工程师在第一次将回路连线时所做的事情。

  1. 自整定方法

      自整定方法有好多种,如利用微处理器生成M序列伪随机信号测取对象脉冲反应函数;用最小2乘法在线递推识别;用优选法在线修改*K p、*T i、*T d等。但前两种方法占机容量较多,而一般微处理器运算速度较低,内存也有限;后一种方法要在好几个过渡过程结束后才能完成,不甚及时。

      根据笔者以前工作中尝试过的温度控制对象自整定方法介绍如下。

      (1)开关阶跃响应PID参数自整定

      这是一种开环整定方法,即利用系统广义过程的阶跃响应特性曲线对调节器参数进行整定。具体做法是:先使系统处于开环状态。在执行单元输入端施加一个阶跃信号,这个阶跃信号的幅度以不影响系统的安全运行限制。记录下过程量的变化值。根据这个阶跃响应曲线将广义被控过程的传递函数近似表示如下:

      对于有自衡能力的广义过程(因为控制对象为加热炉),传递函数可写为:

                                                         

       我们通过大量试验,可以得到,P=Td×最大斜率×输入幅度/满量程×100%   Ti=0.4×Td    TD=0.4/Td

      自整定调试试验结束时,仪表即自动切换到PID控制。

      以上经验数值可能还需要在实际过程中进行修正。

     (2)继电振荡PID参数自整定方法

      1984年,K.J.Astrom提出了在继电反馈下观测被控过程的极限环振荡自整定方法。在自整定调节期间,继电控制使被控过程产生极限环振荡,由振荡曲线可以得到动态过程数学模型的特征参数Tu和Ku,再利用Z-N整定公式计算PID参数。调节过程结束后,系统切换到PID控制。该方法大量节省了技术人员的工作量和调试时间,并且比手动操作有效和可靠,被许多实用的工业控制器所采用。

      实用的基于继电振荡的PID参数自整定算法的控制过程曲线,该自整定过程至少需要满量程阶跃峰值时间加近两个振荡周期,相比基于开环阶跃响应的PID参数自整定算法整定时间大大延长。并且被控过程将长时间处于等幅振荡状态,这对于许多被控过程和执行器是不允许的。一旦反馈控制功能启动后,整定功能就可以给出一套P、I和D的整定参数并得到理想的闭环回路行为。因为整定和控制功能是同时进行操作的。控制器必须持续地保持过程变量在规定范围内,因此它必须试着了解过程变量是如何对控制量进行反作用的。

      不幸的是,这些功能都是相互对立的。保持过程变量稳定就会削弱对于过程行为有用的整定功能,反之,模拟整个过程可以了解对控制量如何反应会减弱控制功能。

      而幸运的是,总有几次当控制量和过程变量无论如何波动的时候,闭环回路运行的依然正常,而且大多数的自整定器被设计成可以利用该情况。

A、B:依据不同温度控制对象决定的系数

      注:John ZieglerNathaniel Nichols发明了著名的回路整定技术使得PID算法在所有应用在工业领域内的反馈控制策略中是最常用的。Ziegler-Nichols整定技术是1942年第一次发表出来,直到现在还被广泛地应用着。

      经过许多年的发展,Zigeler-Nichols方法已经发展成为一种参数设定中,处于经验和计算法之间的中间方法。这种方法可以为控制器确定非常精确的参数,在此之后也可以进行微调。

      Ziegler-Nichols方法分为两步:

      构建闭环控制回路,确定稳定极限。

      根据公式计算控制器参数。

      整定原则

      自整定过程结束时,PID参数由自整定算法计算得出。计算PID参数的公式基于增益和过程滞后时间与响应时间的比例。考虑到鲁棒性,算法必须在不失稳定性的条件下支持增益与时间常数变化。

     (6)调节系统的品质指标

     1.目前描述自动调节系统的具体品质指标是在承受阶跃形式扰动后被调量过渡过程的一些参数和形态。这些参数有以下几项:

    (1)无差度或稳态误差ε;

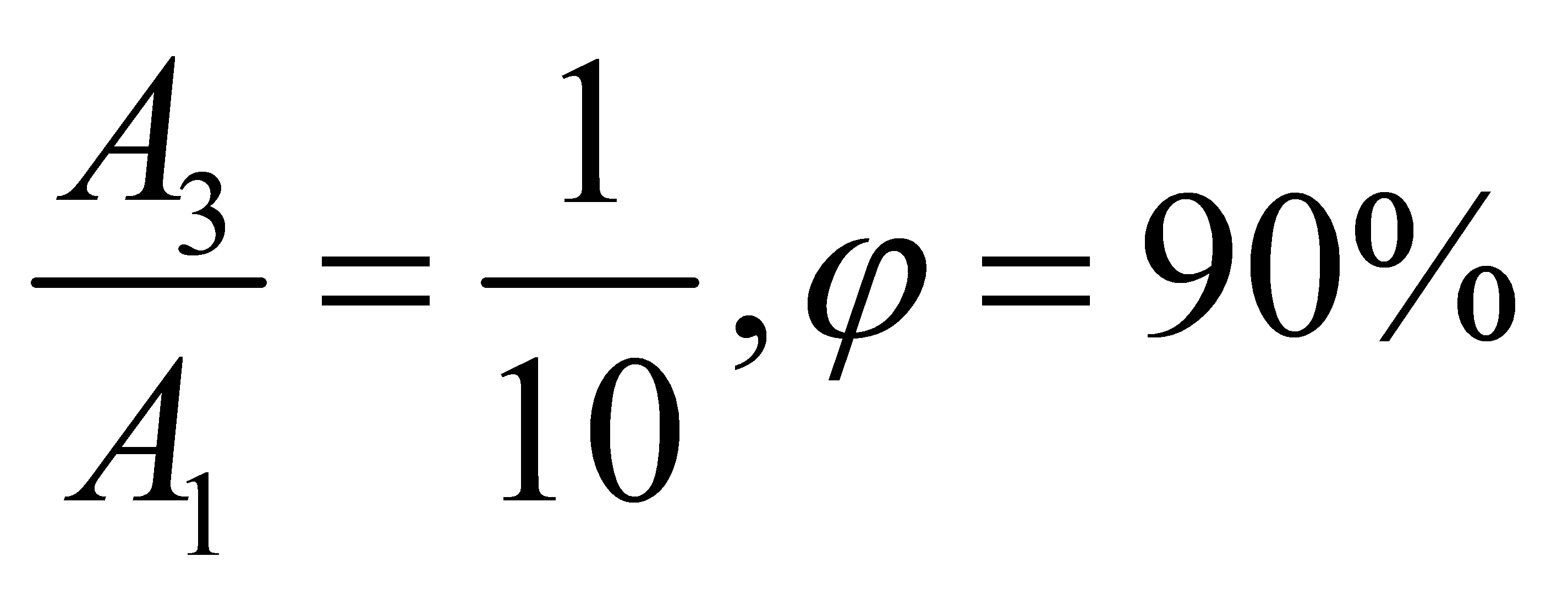
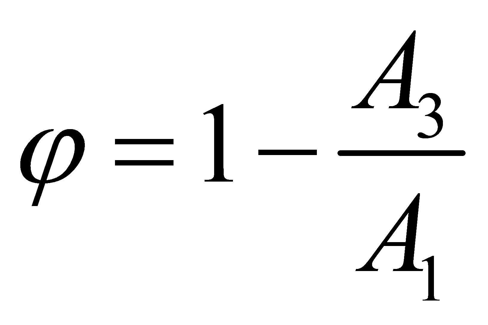
    (2)超调量σ%,定值调节系统:和随动调节系统;

     图1(a)  定值调节系统在阶跃扰动作用下被调量的波动过程

 

 

    图1(b)  随动调节系统在阶跃扰动作用下被调量的波动过程

 

    (3)调节时间Tp;

    (4)振荡数X;

    (5)衰减度或衰减率

     (6)误差平方积分值

     如果系统的上述项品质指标都不超过预先规定的限值,那末系统就具有所需的品质,或者说满足给定的品质要求。

    2.作为系统品质要求的过渡过程的典型形态有以下几种:

    (1)超调20%过程(σ%=20%);

   (2)4:1衰减过程()

   (3)10:1衰减过程

   (4)调节时间最短过程(Tp最小);

   (5)平方积分值最小过程(F最小);

   (6)无超调过程(σ%=0)。

                  三.近代发展的几种先进智能预测控制

   (a)人工神经网络PID控制

    (b)遗传法PID控制

    (c)模糊PID控制

    (d)专家控制

    (e)免疫反馈机理控制

    (f)网络化控制

    (g)模糊控制

    随着科学技术的发展,还会出现新的,更先进的整定方法。

 

 

                                          戈    剑

     

                                       2019.1.15整理

咨询电话 0599-7821390

商务邮箱 hrgs@hrgs.com.cn

直接扫码

广发(中国)微信客服

广发(中国)官方微信

fjhongrun

© 版权所有 广发官网平台 闽ICP备05020565号-1